उच्च-गुणवत्ताको बेस्टडेक्स सल्फोटिल ईथर सोडियम (SBE-β-CD) - फार्मा ग्रेड साइक्लोड्रिन encienter - CAS 122410-00-00। अनुमालीकरण, स्थिरता र बियोआआयाइवाइलरक्षमता सुधार गर्दछ।
	 
 
	
Betadadex सल्फबाइट ईथर सोडियम (SBE-β-CD) - फार्मा ग्रेड साइक्लोड्रिक्स एन्क्सियर - क्यास 122410-00-00
	
उपस्थिति: सेतो पाउडर, मिठो, ग्राइप र निर्दोष
	
शेल्फ लाइफ: month 36 महिना
	
ग्रेड: इंजेक्शन ग्रेड
	
अनुप्रयोग: फार्मास्यूटिकल
	
मानक: USP, EP
	
वेश्यावृत्ति: ≥100 (25 ℃, g / 100ml)
	
भारी धातु: ≤0.0025 %%%
	
सुगर कम गर्दै: ≤0.05%
	
	
सल्फिबाटिटली-चक्र-चक्र एक्समासेन्टेन्टेक्टिकल विचलितले मात्र सुरक्षा विवादलाई बढाउन सक्दैन, यसले प्रशासन उल्टो सुधार गर्न सक्दछ, औषधि कार्यको समय बढ्न सक्छ।
	
इन्ट्राप्रपास ड्रग्स द्रुत शोषण, छिटो अभिव्यक्ति, उच्च बायोतालर, सुविधाजनक प्रशासन, बिरामीहरू द्वारा स्वीकार गर्न सकिन्छ, फार्मास्यूटिकी अनुसन्धानमा एक मात्र हटस्पट हुन सक्छ। जहाँसम्म, नाक ड्रग्सको कम प्रवेशका कारण नाक गुफामा धेरै इन्जाइमहरूले गिरावट र नाक निर्देशन निम्त्याउन सक्छ।
	
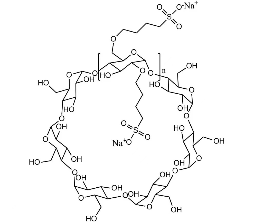
सल्फिबाटिटली-β-चक्र-चक्र प्रसारिक एरिमायुटिष्ट hective एक सोडियम नुन उत्पादन गरिएको छ जब बेस्टेडक्स 1,4-बनेफिनिक एसिडल ल्याक्सेन्डोन 1,4-ब्रह्मफोनिक एसिडल ल्याक्फोन हुन्छ यो एक एनियाई, अत्यधिक पानी-झगडा भ्रापुर व्युत्पन्न व्युत्पन्न। सल्फिबाटिटली-चक्र-चक्र एक्समास्युटिकयय उत्तेजनाको लागि स्थिरता अणुहरू, र यसको रेनल हलोलिसिसलाई कम गर्ने, खराब गन्ध हटाउने, एड्सको नियन्त्रणमा कम गर्न सकिन्छ।
	
	
	 
 
	
Xi'an डेली बायोक्लेम्यॉर्मन कण, लिमिटेड। एक उच्च-टेक उद्यम अनुसन्धान र विकास, उत्पादन र साइक्लोड्रिक्सट्रिन र यसको व्युत्पन्न को बिक्री मा विशेषज्ञता छ।
यो अगस्त 2 ,, 1 1999 1999. मा यसको स्थापनादेखि, कम्पनीले "सामान, प्रथम, प्रथम श्रेणीको लागि प्रयास गरेको" गुणस्तरीय कार्यको पालना गर्दै आएको छ। 20 बर्ष भन्दा बढी कडा परिश्रम र विकास पछि, जसमा हाल उत्पादनहरू छन्, डेली ब्रान्ड हाइड्रोफ्रोक्सिल बीडेडेक्स, डेल्ली ब्रान्ड बेडकेक्स सल्फ्याबोटोटिप ईथर सोडियम। माथिका उत्पादनहरू दर्ता गरिएको छ र एफडीएसँग दायर गरिएको छ।
	
	 
	
 Betadadex सल्फबाइटिल ईथर सोडियम क्याडियम क्याड नम्बर 1 18240-00-0-0
Betadadex सल्फबाइटिल ईथर सोडियम क्याडियम क्याड नम्बर 1 18240-00-0-0 सल्फिबोटिल ईथर बीएटो साइक्लोड्रिन साइडियम
सल्फिबोटिल ईथर बीएटो साइक्लोड्रिन साइडियम Betadadex सल्फबालिट ईथर सोडियम इन्जेम ग्रेड
Betadadex सल्फबालिट ईथर सोडियम इन्जेम ग्रेड डीएमएफ बेस्टडेक्स सल्फोटिल ईथर सोडियम यूएसपी एसपी
डीएमएफ बेस्टडेक्स सल्फोटिल ईथर सोडियम यूएसपी एसपी Betadadex सल्फ्याटिल ईथर सोडियम क्यास 122410-00-00
Betadadex सल्फ्याटिल ईथर सोडियम क्यास 122410-00-00 डीएमएफ बीडेक्क्स सल्फ्याटिल ईथर सोडियम 122410-00-00
डीएमएफ बीडेक्क्स सल्फ्याटिल ईथर सोडियम 122410-00-00