X
IMG
VIDEO

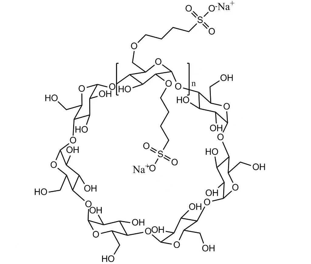
SBE-β-CD सल्फोब्युटाइलथर बीटा साइक्लोडेक्सट्रिन सोडियम इन्जेक्टेबल फार्मास्युटिकल एक्सिपिएन्ट

थोक SBE-β-CD सल्फोब्युटाइलथर बीटा साइक्लोडेक्सट्रिन सोडियम इन्जेक्टेबल फार्मास्युटिकल एक्सिपियन्ट DELI बाट चीनमा बनेको। SBE-β-CD (Sulfobutylether Beta Cyclodextrin Sodium) एक अत्यधिक पानीमा घुलनशील इन्जेक्टेबल फार्मास्युटिकल एक्सिपिएन्ट हो जुन उल्टो समावेशी जटिल गठन मार्फत खराब घुलनशील API को घुलनशीलता, स्थिरता र सुरक्षा बढाउन प्रयोग गरिन्छ।

सोधपुछ पठाउनुहोस्

उत्पादन विवरण


SBE-β-CD सल्फोब्युटाइलथर बीटा साइक्लोडेक्सट्रिन सोडियम इन्जेक्टेबल फार्मास्युटिकल एक्सिपिएन्ट

SBE-β-CD (Sulfobutylether Beta Cyclodextrin सोडियम) एक अत्यधिक पानीमा घुलनशील, anionic β-cyclodextrin व्युत्पन्न इंजेक्शन योग्य औषधि अनुप्रयोगहरूको लागि डिजाइन गरिएको हो। यसले सक्रिय औषधि सामग्री (एपीआई) सँग स्थिर, गैर-सहयोगी समावेशी कम्प्लेक्सहरू बनाउँछ, पानीमा घुलनशील औषधिहरूको घुलनशीलता, स्थिरता र सुरक्षामा उल्लेखनीय सुधार गर्दछ।

यसको उत्कृष्ट बायोकम्प्याटिबिलिटी, कम हेमोलाइटिक गतिविधि, र नियन्त्रित विषाक्तता प्रोफाइलको कारण, SBE-β-CD धेरै उपचारात्मक क्षेत्रहरूमा पेरेन्टेरल ड्रग डेलिभरी प्रणालीहरूमा व्यापक रूपमा प्रयोग गरिन्छ।


प्रमुख लाभहरू


SBE-β-CD ले हाइड्रोफोबिक API को जलीय घुलनशीलता बढाउँछ जबकि सूत्र सुरक्षा कायम राख्छ। परम्परागत घुलनशील एजेन्टहरूको तुलनामा, यसले मृगौलाको विषाक्तता कम गर्दछ र इंजेक्शन साइटहरूमा कम जलन देखाउँदछ, यसलाई बारम्बार प्यारेन्टरल प्रशासनको लागि उपयुक्त बनाउँदछ।


फार्मास्यूटिकल अनुप्रयोगहरू


SBE-β-CD मुख्यतया इन्जेक्टेबल र बाँझ ढाँचाहरूमा लागू गरिन्छ, जसमा इन्ट्राभेनस, इन्ट्रामस्कुलर, र सबकुटेनियस डोज फारमहरू समावेश छन्। यो सामान्यतया एन्टिभाइरल, एन्टिफंगल, ओन्कोलोजी, र कार्डियोभास्कुलर ड्रग उत्पादनहरूमा प्रयोग गरिन्छ, जहाँ उच्च घुलनशीलता र सूत्रीकरण स्थिरता महत्वपूर्ण हुन्छ।


उत्पादन निर्दिष्टीकरण


रासायनिक नाम सल्फोब्युटाइलथर बीटा साइक्लोडेक्स्ट्रिन सोडियम
CAS नम्बर 182410-00-0
उपस्थिति सेतो देखि अफ-सेतो अमोर्फस पाउडर
ग्रेड इन्जेक्टेबल फार्मास्युटिकल Excipient
घुलनशीलता पानीमा स्वतन्त्र रूपमा घुलनशील
परख 95.0% - 105.0% (निर्जल आधार)
प्रतिस्थापनको औसत डिग्री (DS) ६.२ - ६.९
ब्याक्टेरियल एन्डोटोक्सिन ≤ 10 EU/g
मानकहरू USP / EP
शेल्फ जीवन 36 महिना


प्याकेजिङ निर्दिष्टीकरण


उपलब्ध प्याकेजिङ विकल्पहरूमा 500 ग्राम/झोला, 1 kg/झोला, 10 kg/bg, र 10 kg/drum समावेश छ। अनुकूलित प्याकेजिङ्ग व्यावसायिक आपूर्ति को लागी अनुरोध मा उपलब्ध छ।


गुणस्तर आश्वासन


SBE-β-CD को सबै ब्याचहरू कडा गुणस्तर व्यवस्थापन प्रणाली अन्तर्गत निर्मित हुन्छन् र व्यापक विश्लेषणात्मक परीक्षणबाट गुज्रिन्छन्। मुख्य गुणस्तर मापदण्डहरू जस्तै अशुद्धता, एन्डोटोक्सिन, प्रतिस्थापनको डिग्री, र ब्याच-देखि-ब्याच स्थिरतालाई कडा रूपमा नियन्त्रण गरिन्छ।

प्रत्येक ढुवानीमा पूर्ण ट्रेसिबिलिटी र नियामक अनुपालन सुनिश्चित गर्न विश्लेषणको प्रमाणपत्र (COA) सँगसँगै छ।


कम्पनी योग्यता र प्रमाणीकरण


सियान डेली बायोकेमिकल उद्योग कं, लिमिटेड साइक्लोडेक्स्ट्रिन र तिनका डेरिभेटिभहरूको अनुसन्धान, विकास र निर्माणमा विशेषज्ञता हासिल गर्ने उच्च-प्रविधि उद्यम हो। 1999 मा स्थापित, कम्पनीसँग 26 वर्ष भन्दा बढी उद्योग अनुभव छ।

कम्पनीले नियन्त्रित सफा उत्पादन क्षेत्रहरूको साथ समर्पित औषधि सहायक उत्पादन लाइनहरू सञ्चालन गर्दछ। यसको गुणस्तर व्यवस्थापन प्रणालीले ISO 9001 प्रमाणीकरण पारित गरेको छ, र कोर उत्पादनहरू दर्ता वा FDA लगायत सम्बन्धित नियामक निकायहरूमा दायर गरिएका छन्।


उत्पादन क्षमता


सियान डेली बायोकेमिकलले SBE-β-CD को लागि ठूलो मात्रामा व्यावसायिक उत्पादन क्षमता स्थापना गरेको छ, विश्वव्यापी औषधि ग्राहकहरूको लागि भरपर्दो दीर्घकालीन आपूर्ति सुनिश्चित गर्दै।

वार्षिक उत्पादन क्षमता 200 मेट्रिक टन भन्दा बढी छ, लगभग 2.5 मेट्रिक टन को एक सामान्य ब्याच आकार संग।


FAQ

Q1: Injectable formulations मा SBE-β-CD को मुख्य कार्य के हो?
A: SBE-β-CD ले मुख्य रूपमा घुलनशील र स्थिरताको रूपमा कार्य गर्दछ, जलीय घुलनशीलता र खराब पानी-घुलनशील API को सुरक्षालाई उल्टो समावेशी जटिल गठन मार्फत सुधार गर्दछ।


Q2: के SBE-β-CD बारम्बार नसामा प्रयोगको लागि उपयुक्त छ?
A: हो। SBE-β-CD ले कम हेमोलाइटिक गतिविधि देखाउँदछ र परम्परागत घुलनशील एजेन्टहरूको तुलनामा गुर्दे विषाक्तता कम गर्दछ, यसलाई बारम्बार प्यारेन्टरल प्रयोगको लागि उपयुक्त बनाउँदछ।


Q3: के तपाईंको उत्पादनले फार्माकोपियल मापदण्डहरूको पालना गर्दछ?
A: हाम्रो SBE-β-CD USP र EP आवश्यकताहरूको पालना गर्दछ र प्रमाणित गुणस्तर व्यवस्थापन प्रणाली अन्तर्गत निर्मित छ।


Q4: प्राविधिक कागजात प्रदान गर्न सकिन्छ?
A: हो। COA, विशिष्टताहरू, र प्राविधिक डेटा अनुरोधमा उपलब्ध छन्।



हट ट्यागहरू: SBE-β-CD Sulfobutylether Beta Cyclodextrin Sodium Injectable Pharmaceutical Excipient, निर्माता, आपूर्तिकर्ता, चीन, कारखाना, थोक, नि:शुल्क नमूना, चीनमा निर्मित, स्टकमा, थोक, किन्नुहोस्

सम्बन्धित श्रेणी

सोधपुछ पठाउनुहोस्

कृपया तलको फारममा आफ्नो सोधपुछ दिन स्वतन्त्र महसुस गर्नुहोस्। हामी तपाईंलाई 24 घण्टामा जवाफ दिनेछौं।
icon
X
हामी तपाईंलाई राम्रो ब्राउजिङ अनुभव प्रदान गर्न, साइट ट्राफिक विश्लेषण र सामग्री निजीकृत गर्न कुकीहरू प्रयोग गर्छौं। यो साइट प्रयोग गरेर, तपाईं कुकीहरूको हाम्रो प्रयोगमा सहमत हुनुहुन्छ। गोपनीयता नीति
अस्वीकार गर्नुहोस् स्वीकार गर्नुहोस्