सल्फोब्युटाइलथर बीटा साइक्लोडेक्सट्रिन सोडियम पाउडर
IMG
VIDEO

सल्फोब्युटाइलथर बीटा साइक्लोडेक्सट्रिन सोडियम पाउडर

सल्फोब्युटाइलथर बीटा साइक्लोडेक्सट्रिन सोडियम पाउडर
CAS नम्बर: 182410-00-0
रूप: सेतो देखि अफ-सेतो अमोर्फस पाउडर
ग्रेड: इंजेक्शन ग्रेड / फार्मास्यूटिकल excipient
परख: ≥ 99.0% (निर्जल आधारमा)
घुलनशीलता: पानीमा स्वतन्त्र रूपमा घुलनशील
ब्याक्टेरियल एन्डोटोक्सिन: ≤ 10 EU/g
कार्यकारी मानक: USP / EP / ChP

सोधपुछ पठाउनुहोस्

उत्पादन विवरण


सल्फोब्युटाइलथर बीटा साइक्लोडेक्सट्रिन सोडियम पाउडर के हो?


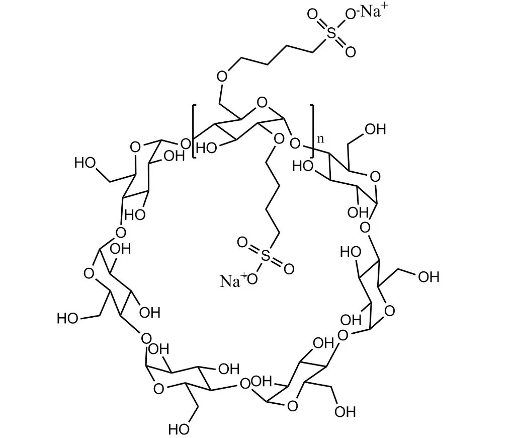
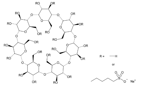
सल्फोब्युटाइलथर बीटा साइक्लोडेक्सट्रिन सोडियम पाउडर एक अत्यधिक पानीमा घुलनशील, एनियोनिक β-साइक्लोडेक्सट्रिन डेरिवेटिभ हो जुन औषधि सहायकको रूपमा प्रयोग गरिन्छ। यसलाई रासायनिक रूपले परिमार्जन गरी बिटा साइक्लोडेक्स्ट्रिनलाई सल्फोब्युटाइल ईथर समूहहरूद्वारा नियन्त्रित क्षारीय अवस्थाहरूमा उत्पादन गरिन्छ, परिणामस्वरूप उत्कृष्ट घुलनशील गुणहरूको साथ सोडियम नुन हुन्छ।

यो इन्जेक्टेबल-ग्रेड एक्सिपियन्टलाई कमजोर रूपमा घुलनशील सक्रिय औषधि सामग्री (APIs) को साथ स्थिर, गैर-सहयोगी समावेशी परिसरहरू बनाउन डिजाइन गरिएको हो। औषधि अणुहरूलाई समेटेर, सल्फोब्युटाइलथर बीटा साइक्लोडेक्सट्रिन सोडियम पाउडरले स्थानीय जलन, हेमोलाइसिस, र मृगौला विषाक्तता कम गर्दा औषधिको घुलनशीलता, स्थिरता र जैवउपलब्धतामा उल्लेखनीय सुधार गर्दछ।

यसको उच्च सुरक्षा प्रोफाइल र बलियो जटिलता क्षमताको कारण, सल्फोब्युटाइलथर बीटा साइक्लोडेक्सट्रिन सोडियम पाउडर विशेष गरी एन्टिफंगल, एन्टिभाइरल, ओन्कोलोजी, र कार्डियोभास्कुलर इन्जेक्टेबल ड्रग्सको लागि पेरेन्टेरल फार्मास्युटिकल फर्मुलेशनहरूमा व्यापक रूपमा प्रयोग गरिन्छ। यसले USP र EP जस्ता प्रमुख फार्माकोपियल मापदण्डहरूको पालना गर्दछ र क्लिनिकल र व्यावसायिक फार्मास्यूटिकल अनुप्रयोगहरूको लागि उपयुक्त छ।


सल्फोब्युटाइलथर बीटा साइक्लोडेक्सट्रिन सोडियम पाउडर विशिष्टता


उत्पादन
सल्फोब्युटाइलथर बीटा साइक्लोडेक्स्ट्रिन सोडियम
CAS नम्बर
182410-00-0
उपस्थिति सेतो वा लगभग सेतो, हाइग्रोस्कोपिक पाउडर।
कार्यकारी मानक USP / EP / ChP
प्याकेजिङ 500 ग्राम / झोला; 1 किलो / झोला; 10 किलो / झोला; 10 किलो / ड्रम
समानार्थी शब्द SBE-β-CD; सल्फोब्युटिल ईथर बीटा-साइक्लोडेक्सट्रिन; Betadex Sulfobutyl ईथर सोडियम
ASSAY ≥९९%
ब्याक्टेरियल एन्डोटोक्सिन
≤10EU/g
MOQ १ किलो


सल्फोब्युटाइलथर बीटा साइक्लोडेक्सट्रिन सोडियम पाउडर COA


Sulfobutyl Ether Beta Cyclodextrin (SBECD) को उपयोग र लाभ के हो?

1. सल्फोब्युटाइल ईथर बीटा साइक्लोडेक्स्ट्रिन (SBECD) को प्रयोग

सल्फोब्युटाइल ईथर बीटा साइक्लोडेक्सट्रिन (SBECD) मुख्यतया औषधि सहायकको रूपमा प्रयोग गरिन्छ, विशेष गरी:


  • इंजेक्शन योग्य (अभिभावक) औषधि सूत्रहरू
  • नेत्र (आँखा) तयारी
  • नाक र फुफ्फुसीय औषधि वितरण प्रणाली
  • खराब पानीमा घुलनशील API को ढाँचा, जस्तै एन्टिफंगल, एन्टिभाइरल, एन्टीक्यान्सर, र कार्डियोभास्कुलर ड्रग्स


2. सल्फोब्युटाइल ईथर बीटा साइक्लोडेक्स्ट्रिन (SBECD) को फाइदाहरू


  • महत्त्वपूर्ण रूपमा खराब घुलनशील औषधिहरूको पानी घुलनशीलता सुधार गर्दछ
  • गैर-सहसंयोजक समावेशी परिसरहरू गठन गरेर औषधि स्थिरता बढाउँछ
  • औषधि सुरक्षा सुधार गर्दछ, विशेष गरी इंजेक्शन योग्य सूत्रहरूको लागि
  • केही परम्परागत घुलनशीलहरूको तुलनामा गुर्दे विषाक्तता कम गर्दछ
  • हेमोलाइसिस र इंजेक्शन साइट जलन कम गर्दछ
  • औषधि रिलिज दर नियन्त्रण गर्दछ, चिकित्सीय प्रदर्शन सुधार
  • APIs को अप्रिय गन्ध वा स्वाद मास्क
  • उच्च जलीय घुलनशीलता र कम विषाक्तता, प्यारेन्टरल प्रयोगको लागि उपयुक्त

हामीलाई किन छान्नुहोस्?


उत्पादन अनुभव को 20 वर्ष भन्दा बढी

cyclodextrin र cyclodextrin व्युत्पन्न उत्पादन मा दुई दशक भन्दा बढी समर्पित अनुभव संग, सियान डेली बायोकेमिकल उद्योग कं, लिमिटेड उत्पादन गुणस्तर, प्रक्रिया स्थिरता, र भरपर्दो आपूर्ति को लागी एक ठोस प्रतिष्ठा निर्माण गरेको छ।


ठूलो मात्रा र स्थिर उत्पादन क्षमता

हामी 500 टन Hydroxypropyl Betadex र 200 टन Betadex Sulfobutyl Ether Sodium को वार्षिक क्षमताको साथ औद्योगिक स्तरको उत्पादन लाइनहरू सञ्चालन गर्छौं, दीर्घकालीन व्यावसायिक र क्लिनिकल अनुप्रयोगहरूको लागि स्थिर आपूर्ति सुनिश्चित गर्दै।


औषधि-ग्रेड गुणस्तर आश्वासन

हाम्रा उत्पादनहरू औषधि उत्पादन आवश्यकताहरू अनुसार डिजाइन गरिएको समर्पित क्लास डी सफा क्षेत्रको साथ कडा गुणस्तर व्यवस्थापन प्रणाली अन्तर्गत निर्मित छन्। विस्तृत इन-प्रक्रिया र अन्तिम उत्पादन परीक्षणले उत्कृष्ट ब्याच-देखि-ब्याच स्थिरता सुनिश्चित गर्दछ।


उन्नत विश्लेषणात्मक र परीक्षण क्षमताहरू

आधुनिक विश्लेषणात्मक उपकरणहरू जस्तै HPLC, GC, IC, केशिका इलेक्ट्रोफोरेसिस, FTIR, र NMR-समर्थित परीक्षणहरूसँग सुसज्जित, हाम्रो प्रयोगशालाले USP, EP, र ChP को फार्माकोपियल आवश्यकताहरू पूरा गर्न सक्षम छ, सूत्रीकरण विकास र नियामक अनुपालनलाई समर्थन गर्दछ।


नियामक समर्थन र ग्लोबल मार्केट अनुभव

हाइड्रोक्सिप्रोपाइल बेटाडेक्स र बेटाडेक्स सल्फोब्युटिल ईथर सोडियम सहित हाम्रा प्रमुख उत्पादनहरू, ग्लोबल फार्मास्यूटिकल बजारहरूको लागि ग्राहकहरूलाई समर्थन गर्ने हाम्रो अनुभवलाई प्रदर्शन गर्दै, FDA मा दर्ता र दायर गरिएको छ।


ग्राहक उन्मुख प्राविधिक समर्थन

हामी व्यावसायिक प्राविधिक समर्थन, कागजात सहयोग, र सूत्रीकरण-सम्बन्धित मार्गदर्शन प्रदान गर्दछौं, दीर्घकालीन व्यावसायिक आपूर्ति मार्फत प्रारम्भिक विकासदेखि ग्राहकहरूसँग नजिकबाट काम गर्दै।


कम्पनीको योग्यता

सियान डेली बायोकेमिकल उद्योग कं, लिमिटेड प्रमाणपत्र।

विगतका वर्षहरूमा, सियान डेली बायोकेमिकल उद्योग कं, लिमिटेड उत्पादन प्रक्रिया अनुकूलन र साइक्लोडेक्सट्रिन्स र तिनीहरूका डेरिभेटिभहरूको लागि एक व्यापक गुणस्तर व्यवस्थापन प्रणालीको स्थापना गर्न निरन्तर प्रतिबद्ध छ।


FAQ

1. तपाईं एक निर्माता वा एक व्यापार कम्पनी हो?

हामी cyclodextrin र cyclodextrin डेरिभेटिभ मा विशेषज्ञता पेशेवर निर्माता हो। सबै उत्पादनहरू सियान, चीनमा हाम्रो आफ्नै उत्पादन सुविधामा उत्पादन गरिन्छ।


2. तपाईंका मुख्य उत्पादनहरू के हुन्?

हाम्रा मुख्य उत्पादनहरू हाइड्रोक्सिप्रोपाइल बेटाडेक्स (HPBCD) र Betadex Sulfobutyl Ether Sodium (SBECD) हुन्, जुन व्यापक रूपमा औषधि सहायकको रूपमा प्रयोग गरिन्छ, विशेष गरी इन्जेक्टेबल र मौखिक सूत्रहरूमा।


3. के तपाईंका उत्पादनहरूले फार्माकोपियल मापदण्डहरू पूरा गर्छन्?

हो। हाम्रा उत्पादनहरूले USP, EP, र चिनियाँ फार्माकोपिया आवश्यकताहरू पूरा गर्छन्। विश्लेषण को पूर्ण प्रमाणपत्र (COA) प्रत्येक ब्याच संग प्रदान गरिन्छ।


4. के तपाइँ इन्जेक्टेबल-ग्रेड सामग्री आपूर्ति गर्नुहुन्छ?

हो। हामी इन्जेक्टेबल-ग्रेड साइक्लोडेक्सट्रिन डेरिभेटिभहरूमा अशुद्धता, एन्डोटोक्सिन, र ब्याच-टू-ब्याच स्थिरताको कडा नियन्त्रणको साथमा विशेषज्ञ छौं।


5. तपाईंको उत्पादन क्षमता के हो?

Hydroxypropyl Betadex: प्रति वर्ष 500 मेट्रिक टन

Betadex Sulfobutyl ईथर सोडियम: प्रति वर्ष 200 मेट्रिक टन


6. के तपाइँ मूल्याङ्कनका लागि नमूनाहरू प्रदान गर्नुहुन्छ?

हो। नि: शुल्क नमूनाहरू सूत्रीकरण विकास र परीक्षणको लागि अनुरोधमा उपलब्ध छन्।


7. तपाईं दीर्घकालीन व्यावसायिक आपूर्ति समर्थन गर्न सक्नुहुन्छ?

हो। ठूला-ठूला उत्पादन लाइनहरू र स्थिर गुणस्तर प्रणालीहरूको साथ, हामी विश्वव्यापी औषधि ग्राहकहरूको लागि दीर्घकालीन र व्यावसायिक स्तरको आपूर्तिलाई समर्थन गर्छौं।


8. तपाइँ कुन गुणस्तर प्रणालीहरू पछ्याउनुहुन्छ?

हामी ISO 9001: 2015 अन्तर्गत काम गर्छौं, उन्नत विश्लेषणात्मक उपकरणहरू र उत्पादनको स्थिरता र अनुपालन सुनिश्चित गर्न समर्पित गुणस्तर नियन्त्रण प्रयोगशालाद्वारा समर्थित।



हट ट्यागहरू: Sulfobutylether Beta Cyclodextrin सोडियम पाउडर, निर्माता, आपूर्तिकर्ता, चीन, कारखाना, थोक, नि: शुल्क नमूना, चीन मा निर्मित, स्टक मा, थोक, किन्नुहोस्

सम्बन्धित श्रेणी

सोधपुछ पठाउनुहोस्

कृपया तलको फारममा आफ्नो सोधपुछ दिन स्वतन्त्र महसुस गर्नुहोस्। हामी तपाईंलाई 24 घण्टामा जवाफ दिनेछौं।
icon
X
हामी तपाईंलाई राम्रो ब्राउजिङ अनुभव प्रदान गर्न, साइट ट्राफिक विश्लेषण र सामग्री निजीकृत गर्न कुकीहरू प्रयोग गर्छौं। यो साइट प्रयोग गरेर, तपाईं कुकीहरूको हाम्रो प्रयोगमा सहमत हुनुहुन्छ। गोपनीयता नीति
अस्वीकार गर्नुहोस् स्वीकार गर्नुहोस्